Đe reče Japan
Senzacionalna vijest o beranskom profesoru koji je riješio nerješivo dobija novi momenat umjesto da se jednostavno razriješi. Do novih podataka o ovom slučaju smo došli nakon konsultovanja uredništva Vojnotehničkog glasnika i Univerziteta Čuo koji je organizovao Međunarodnu konferenciju primijenjene fizike i matematike (MKPFM, eng. ICAPM 2020) u Tokiju. Da se podsjetimo: u Vojnotehnički glasnik je Rmuš sprva (2017.) objavio rad, pa ga je predstavio na konferenciji MKPFM 2020 u Tokiju. Pored toga, zet g. Rmuša je Dragutin Dakić, načelnik generalštaba Crne Gore, za kojega ne znamo da li je i kakav upliv imao u čitavoj ovoj tarapani.
Pomenuta Međunarodna konferencija u Tokiju nije okupljanje koje u naučnim krugovima ima ikakvu težinu. Kako se vidi iz pisma koje smo od njih dobili – nemaju akademski autoritet da potvrde nečiji proboj u akademskim vodama. Evo prevoda pisma i prikaza izvornog odgovora:
„Dragi Mato Kankaraš,
Hvala vam na vašem mejlu.
Rad gospodina Veselina Rmuša nije bio prihvaćen od strane MKPFM (Međunarodna konferencija primijenjene fizike i matematike) 2020, ipak komitet konferencije mu je pružio priliku da izloži svoj rad na MKPFM iz poštovanja.
Zbog načina izlaganja svoje prezentacije, izlaganje gospodina Rmuša je izabrano za najbolje sa njegove sesije, što nije previše vezano za sadržinu njegovog rada.
Prvi put vidimo vijesti kojim ste nas snabdjeli. Moramo reći da MKPFM-ov niz konferencija i organizatori obezbjeđuju platformu za sve akademske i industrijske zajednice da se osvrnu novim izazovima i dijele svoja rješenja i prodiskutuju pravce u istraživanju i [MKPFM] nema akademski autoritet da potvrdi ičiji akademski proboj.
Sve najljepše,
Ms. Losi Luo
Sekretar konferencija MKPFM 2020
Sajt: www.icapm.org
E-mail : icapm@asr.org “
Iscrpnom prepiskom sa veoma srdačnim urednikom Nebojšom Gaćešom stručnog lista Vojnotehnički glasnik dobili smo na uvid sljedeću recenziju koja je redakciju Vojnotehničkog glasnika osokolila da objavi krnji Rmušov naučni članak:
„Posle detaljnog čitanja i proveravanja svih navedenih postupaka i matematičkih dokaza mogu sa sigurnošću da konstatujem da je ovaj rad moderno koncipiran. Sa novim i originalnim pristupom u rešavanju poznatih starih problema iz geometrije autor je otišao korak dalje u odnosu na neke već poznate pokušaje. Naime odavno je poznat dokaz da se isti ne mogu rešiti konačno puta primenom šestara i lenjira, ali i odavno je poznato da su mnogi autori pokušavali da definišu, odnosno, uvedu novi pristup. Autor ustvari to radi u ovom svom lepom i značajnom radu. U njemu autor navodi više novih i originalnih ideja i rezultata sa (tako izgleda) korektnim dokazima. Ovaj pristup može sigurno biti motivacija ostalim istraživačima koji pokušavaju da na drugi način rasvetle ova tri poznata problema. Recenzent ovog rada ima zadovoljstvo i čast da ga preporuči za objavljivanje u Military Technical Courier bez ikakvih novih revizija.“
Napominjemo da je urednik Gaćeša svaku moguću odgovornost za objavljivanje krnjeg članka o kvadraturi kruga svalio na sebe. Kako urednik navodi, recenzija pokazuje da je recenzent svjestan da je u pitanju nerješivi zadatak, te da je isključivo uredništvo odgovorno što je članak objavljen. Poslije nedavne medijske bruke Vojnotehnički glasnik će biti prinuđen da Rmušov članak o kvadruti kruga opozove. Recenzenta urednik nije htio imenovati, smatrajući to povjerljivim podatkom. Nakon kraće pretrage po sajtu uviđamo da je jedini recenzent iz oblasti matematike dr Stojan Radenović sa njihovog zvaničnog spiska, koji je nedavnim istupom u Sputnjiku uzeo Rmuša u zaštitu. Riječju: „Nisam još video rešenje, ali čim je na tom mestu dobio priznanje — znači da je uspeo“.
Uz dužno poštovanje što je uredništvo Glasnika preuzelo na sebe svu odgovornost – oni se ne mogu smatrati krivim za sve. Štaviše, oni se po vlastitim etičkim načelima ne mogu teretiti za objavljivanje članka za koji su dobili povoljnu recenziju. Njihov propust se sa recenzentovim ne može mjeriti, već je upravo i uslovljen njegovim. Dr Radenović, poznatiji u srpskim medijima kao „jedan od najznačajnijih svjetskih matematičara“ je prekšio etička načela ovoga časopisa koja ga obavezuju da argumentovano i nepristrasno napiše recenziju.
Istaknuti doktor matematike Radenović puštio je u opticaj članak čiji naslov, kao i brojni podnaslovi (kako se slikom uvjeravamo), eksplicitno tvrde da je sprovedeno u djelo rješavanje antičkih nerješivih problema. Sad postoje dvije mogućnosti: ili dr misli da su ovi zadaci rješivi ili jedva da je čitao članak. Obje mogućnosti idu njemu na štetu, ali bi se po recenziji reklo da je u pitanju ovaj drugi slučaj. Ipak, recenzent dr Stojan Radenović stao je svojim punim autoritetom iza rada u koje je autor nevještim, potpuno pogrešnim peripetijama jasno naveo da je izvršio dokaz antičkih problema. Ovaj rad je do te mjere bezvredan da čak ni pod izmijenjenim naslovom „Približna rješenja antičkih problema“ ne bi smio primiti pozitivnu recenziju.
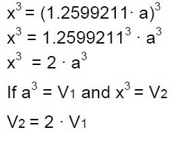
Zbilja, ako bismo u pokušaju kvadrature kruga uzeli da je koeficijent početkom rada namjenska aproksimacija broja π , ubrzo usljeđuje očigledna greška koja se ogleda u postavljanju razmjere, kao što vidimo na slici. Dakle, logika kojom se autor (Rmuš) rukovodi je:
a : b = c : d = t implicira a : c = b : d = t
Đe su a, b, c, d neki realni brojevi. Ovo je besmislica nekome ko poznaje razlomke. Naime, uzmimo a=1, b=2, c=3, d=6. Dakle Rmušova formula kaže:
1 : 2 = 3 : 6 = 2 implicira 1 : 3 = 2 : 6 = 2
- kvadratura kruga
- slika iz prethodnih razmatranja
Odakle crpi svoja kasnija razmatranja, i stvara nekakve funkcije đe figuriše odjednom ovo t kao parametar. Dakle, recenzent je stao i iza ovog očigledno pogeršnog zaključka. Sami “dokaz” je elementarna konstrukcija. Stepen diletantizma se ogleda i u tome što je ista slika korišćena dvaput. Udvostručenje kocke (drugi antički nerješivi zadatak) sprovodi na slično banalan način: zaokružuje nekonstruktabilni broj ∛2 na svoj proizvoljni broj i koristi Talesovu teoremu. U dva poteza! Između ostalog je rekao da je u pravouglom koordinatnom sistemu ugao između osa 30˚!
E, kod trisekcije ugla je već pokazao neku živost. Izveo je zaključak da je dovoljno naći trećinu ugla od 22˚30′ i na osnovu tog rezultata putem rotacija Rmuš „sprovodi“ trisekciju ugla za opšti slučaj. Kao što vidimo na slici, on je suštinski konstruisao pravougli trougao čiji je jedan ugao 22˚30′. Stranicu naspramnu ovom uglu je podijelio na tri dijela putem (pogađate!) Talesove teoreme i zamršenom konstrukcijom nastojao da pokaže kako će trećina ugla biti ugao koji zaklapaju nalegla kateta i duž koja spaja tjeme ugla sa prvom trećinom naspramne stranice.
Štaviše, naći trećinu od ovoga ugla nije ni teško. Trećina ugla od pravog ugla (90˚) se lako konstruiše jer je u pitanju 30˚. Poznata je konstrukcije ugla od 60˚ – i podijelimo na dva ravna dijela. Ugao od 30˚ polovimo, i njegovu polovinu polovimo. Tako dobijamo tačno ugao koji je trećina početnog, iako ovo ne predstavlja nikakav opšti postupak, već su u pitanju poznati uglovi. I ovaj zadatak, kao prethodna dva je nerješiv. Rmuš čak ni u ovom naumu nije uspio. Besmislice sa rotacijama i konstantnim zaokruživanjem ugla ne želim da komentarišem. Ove i slične zaludne avanture je recenzent vjerovatno smatrao tim tzv.originalnim postupkom.
Kao što smo se uvjerili, pomenuta recenzija dr Radenovića zanijela je Rmuša i osmjelila ga da krene u pohod na Japan. Pojedini naši novinari, čim su čuli da je Rmuš dospio u Japan, potrčali su da na sva zvona objave epohalno dostignuće i tako obrukaju sebe i svoje medijske kuće. Najavljeni opoziv rada nije dovoljan. Najveću odgovornost treba da preuzme recenzent dr Radenović za neetičko postupanje koje je pomoglo jednom starom čovjeku u osmoj deceniji života da se izblamira kao naučnik.
Mato Kankaraš
student magistarskih studija na PMF-u u Podgorici
Kratki URL: https://zrcalo.me/?p=8066

















